序列实验
序列实验是通过合理的设计,将多个基本的电化学方法优化组合,来实现更高要求的电化学实验技术。通过一系列有序的实验步骤,逐步调整一个或多个参数或条件,对实验体系的行为和性质进行系统研究。DH7000系列产品具有好的灵活性,能够实现各种电化学方法的自由组合,为序列实验提供了有力支持。
在本实验实例中,我们首先利用恒电流电沉积(CP)技术将金属离子沉积到基底上。随后,通过正向线性扫描(LSV)技术,使沉积的金属离子发生氧化并溶出。通过巧妙地将这两种方法结合在一起,可以通过调整沉积过程中的电流密度和沉积时间,观察线扫溶出曲线峰的变化。这为我们提供了一种有效手段,用于判断能否通过控制沉积时间来调控沉积厚度以及沉积金属中的比例关系。
电镀或电沉积银铜合金在科学研究和实际应用中都具有显著的意义和价值。在应用方面,银铜合金所具备的优异导电性、抗腐蚀性和美观性使其在电子通信、电力传输、珠宝艺术和复合材料制备等领域具有广泛的应用前景。铜银两种金属具有良好的互溶性,通过电沉积形成的合金如果实现完全互溶,可能会形成类似高熵合金的结构。这种分相现象对沉积层的性质具有重要影响,进一步提升了银铜合金的科学意义和应用价值。
具体实验中,本研究针对银和铜的沉积行为进行了研究。通过调整电流密度和沉积时间的变化,我们观察了这两种金属的沉积行为。通过分析线性扫描溶解曲线峰的变化,我们获得了关于沉积层厚度和银铜比例关系的重要信息。这些数据不仅有助于我们深入理解双金属沉积过程,还可为相关领域的研究和应用提供有价值的参考。
仪器与参数设置
循环伏安(CV)曲线扫描范围在0.8~-1.15V,扫速为10和20mV/s;恒电流电沉积电流密度分别为0.2、0.5和0.8A/dm2(ASD),控制沉积不同的时间。线扫(LSV)溶出的扫描范围:-0.4~0.8V,扫速10mV/s;实验体系为三电极体系,选用直径3.0mm的玻碳电极为工作电极,饱和甘汞电极为参比电极,螺旋状铂丝为对电极。试验前先用~5mm的Al2O3抛光粉对玻碳电极进行抛光处理,用去离子水冲洗干净备用。工作液为含有1.0g/L的Ag+和5.0g/L的Cu2+的ZHL无氰镀液,pH约为10.0。温度约为25±1℃。仪器型号:DH7001A电化学工作站。下图为该序列实验方法的参数设置界面,包括第一步恒电流电沉积(CP)参数设置和第二步LSV方法溶出的设置。


实验结果
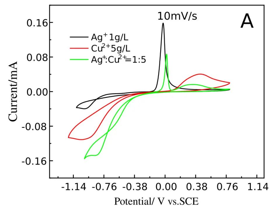
为了说明含有双金属离子循环伏安曲线峰的一些特征以及改变金属离子的浓度对沉积的影响,我们分别研究了不同的Ag+和Cu2+离子的含量,在10mV/s扫速的CV曲线如图1A所示。从图中可以看出,仅含Ag+的镀液中,在-1.0V附近出现还原峰,在随后的正电势方向扫描时电流会在一段电位区间(例如-0.3~-0.7)大于负向扫描时的电流,形成了一个“8”字形的电流回滞。这是由于在负向扫描时,银单质是沉积在惰性的玻碳电极表面,活化能更高;而正向扫描时是沉积在银表面,活化能已大为降低。沉积层的氧化峰电位在0.0V附近,峰形尖锐。
另外通过固定某一金属含量不变,改变另一种金属离子的含量来考察浓度对曲线的影响,如图1B、C所示。在对比铜和银的沉积行为时,可以发现了一些显著的差异。例如铜的还原峰电流比银的要大。这主要是由于铜离子经历的是两电子还原过程,而银离子则是单电子反应。此外,铜离子的含量在溶液中比银离子更高,这也是造成电流差异的另一个原因。另一个值得注意的现象是,铜的还原过程中并没有出现像银离子还原时那样的电流回滞。这一现象推测是由于铜与镀液中络合剂的结合能力相对较弱,其在玻碳电极和铜表面沉积的活化能差异不显著。此外,还观察到铜的氧化峰电位更正,大约在0.43V左右,而且峰形更宽。
在含有银和铜双金属离子体系的CV曲线中可以发现,负扫时的还原电流的增加得更快,峰电位也向正电势移动。此外,在回扫过程中同样存在电流的回滞现象。这些现象表明,银和铜在沉积过程中可能存在着相互的促进作用。



图1
(a)不同组分在10mV/s的CV曲线叠加;(b)只改变银离子浓度的曲线变化;(c)只改变铜离子浓度的曲线变化
在改变银离子相对含量的研究中(图1B),以Ag+:Cu2+=1:5g/L的镀液作为基准,通过单一调整银离子的浓度,即分别设定为1.0、2.0、3.0和4.0g/L,同时保持铜离子含量恒定,记录20mV/s扫描速率下的CV行为。结果显示,随着银离子浓度的增加,CV曲线的还原峰电流也逐渐增加,同时伴随着峰电位的轻微正移。这一现象表明,银离子含量的增加加快了沉积速度。然而,银沉积层的氧化峰位变化不明显,但是峰电流呈现出与银离子含量的线性趋势。沉积银层的氧化峰面积与银离子含量的关系如插图所示。在所考察的浓度区间,两者具有较好的线性关系。
在铜离子含量的研究中,同样以Ag+:Cu2+=1:5g/L的镀液为基准,通过单一调整铜离子的浓度,即分别设定为5.0、10.0、15.0和20.0g/L,同时保持银离子含量恒定,在20mV/s的扫描速率下进行实验,并记录了相应的CV曲线。结果表明,随着镀液中铜离子浓度的增加,还原峰电流逐渐增强,同时明显伴随着峰电位的正向移动。此外,相应氧化峰的电流也呈现出增长的趋势,其峰面积与离子含量也有较好的线性关系,见插图所示。这些结果提供了双组分金属离子的浓度与电沉积物质的量之间的定量关系,为后续对镀层组分的控制提供参考。






图2
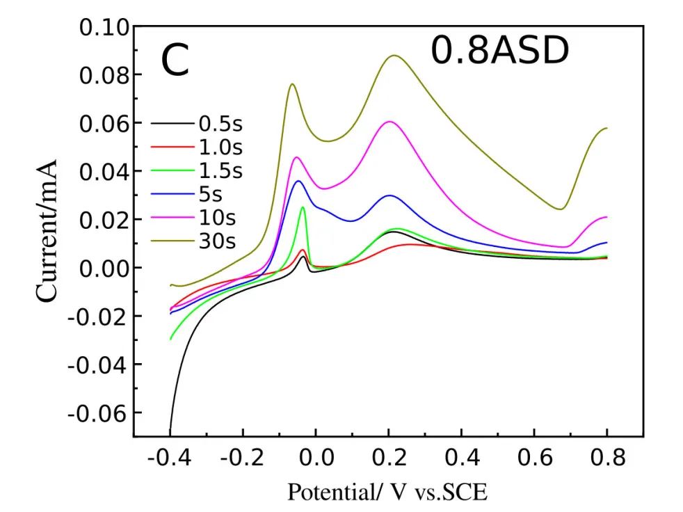
(a)、 (b) 、(c)为不同电流密度下沉积不同时间的溶出曲线
(d)、 (e) 、(f)为10mV/s线扫溶出曲线的峰高与T变化曲线
为了了解银铜合金镀层的含量,我们设计了序列实验。先在恒电流(CP)沉积给定的时间,获得一定厚度的镀层,而后结合线性扫描(LSV)方法表征镀层中不同组分的氧化行为,并确定其相对含量。这一过程中,可以通过调整电流密度和沉积时间来控制合金层的沉积总量,并对得到的溶出曲线进行详细分析。
图2A、B、C分别展示了在0.2、0.5和0.8ASD条件下,不同沉积时间的线性扫描溶出曲线。观察这些曲线可以发现,在低电流密度(如0.2ASD)下,银的沉积显得更为困难。具体来说,在此条件下,前20 s内均未观察到银的溶出峰,而铜的溶出峰则在沉积数秒时便可观察到。结合图1A的CV曲线,可以推断铜的沉积电位低于银。因此,在低电流密度下,达到银离子沉积电位所需的时间更长。在0.5ASD条件下,前2.5秒内也未出现银的溶出峰。
值得注意的是,尽管银离子的沉积过程需要更长的活化时间,一旦出现初始沉积层,可在较短时间达到可观的沉积速度,其氧化峰也在较短的时间内可达到与铜相当的高度。这表明沉积出的银更容易被氧化。图2D、E和F则进一步展示了银铜合金沉积层溶出峰高度随沉积时间的变化趋势。仔细分析这些现象可以进一步了解银铜沉积过程中的催化机理,也为理解其结晶结构提供参考。
总结
电化学方法种类繁多,选择适合特定研究体系的方法至关重要。相较于单一实验,序列实验在研究中不仅操作更为便捷,而且能够揭示更多有价值或难以直接观测的信息。本例利用DH7001A电化学工作站将恒电流电沉积(CP)与线性扫描伏安法(LSV)相结合,探究了双金属银铜离子的共沉积行为。
这种序列方法的运用,能极大地促进实验的深入和对数据的全面获取。然而,要想熟练掌握并运用电化学工作站中的序列实验,研究者不仅需要具备坚实的电化学理论基础,还需要对电化学方法的应用有深刻的理解。此外,高质量的实验结果也依赖于电化学工作站的优良性能。
本文地址: https://www.xsyiq.com/55882.html
网站内容如侵犯了您的权益,请联系我们删除。